Nuevos datos sobre la subsistencia paleolítica en el yacimiento de Cova Eirós mediante la aplicación de un nuevo método de identificación basado en el muestreo de colágeno
Una investigación publicada en la revista International Journal of Osteoarchaeology, liderada por la Universidade de Santiago de Compostela y con participación del IPHES-CERCA y la URV, aplica la técnica ZooMS para identificar restos animales consumidos t
Cova Eirós (Cancelo, Triacastela, Lugo), uno de los yacimientos clave para el estudio del Paleolítico en el noroeste de la península Ibérica, sigue aportando nuevos datos sobre las formas de vida de los grupos humanos prehistóricos. Un estudio liderado por Hugo Bal García, del Grupo de Estudos para a Prehistoria do Noroeste – Arqueoloxía, Antigüidade e Territorio (GEPN-AAT) de la Universidade de Santiago de Compostela y del Centro de Investigación Interuniversitario das Paisaxes Atlánticas e Culturais (CISPAC), y que ha contado con la colaboración de Xosé Pedro Rodríguez Álvarez (URV, IPHES-CERCA), ha permitido identificar nuevas especies animales consumidas tanto por neandertales como por humanos anatómicamente modernos.
La investigación, publicada en acceso abierto en la revista International Journal of Osteoarchaeology, se basa en la aplicación de la técnica ZooMS (Zooarchaeology by Mass Spectrometry), un método innovador que permite identificar restos faunísticos a partir del análisis de las secuencias peptídicas presentes en el colágeno de los huesos. Esta aproximación resulta especialmente útil en aquellos casos en los que el grado de fragmentación de los materiales impide su identificación mediante los métodos tradicionales de la zooarqueología o la paleontología.
Una nueva mirada sobre los restos faunísticos
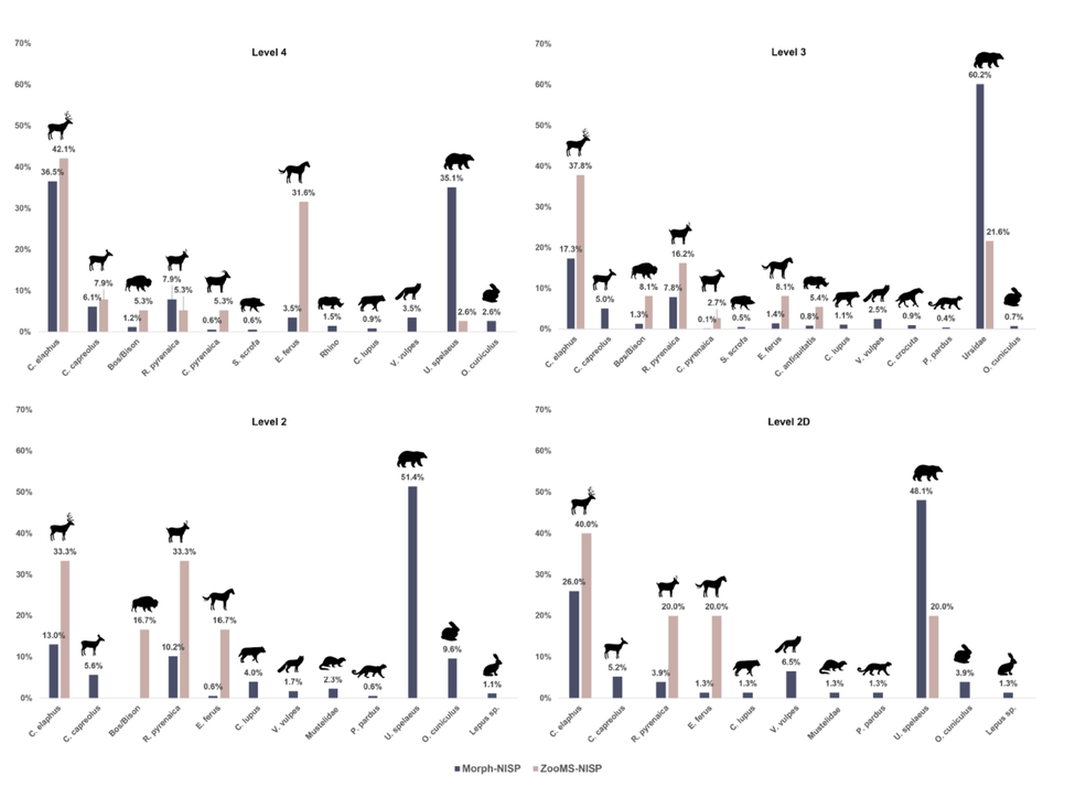
El estudio ha analizado un total de 114 restos óseos que no habían podido ser identificados previamente, integrando estos resultados con un conjunto de más de 8.000 restos faunísticos ya estudiados mediante análisis morfológico. Esta aproximación combinada ha permitido ampliar de forma significativa el conocimiento sobre las especies animales presentes en el yacimiento y, en consecuencia, sobre las estrategias de subsistencia de los grupos humanos que lo habitaron.
Los resultados indican una mayor diversidad en la dieta cárnica de lo que se conocía hasta ahora, poniendo de manifiesto que los patrones de consumo y procesamiento de los animales pueden haber generado sesgos en la representación arqueológica de las distintas especies. En concreto, la mayor intensidad en el procesamiento de los grandes herbívoros habría provocado una fragmentación más elevada de sus huesos, lo que explica la abundancia de fragmentos indeterminados en comparación con otros animales, como los osos de las cavernas.
El potencial de ZooMS en la investigación arqueológica
ZooMS se basa en la identificación de secuencias peptídicas del colágeno conservado en los huesos y su comparación con bases de datos de referencia. Este sistema permite asignar categorías taxonómicas a restos que, debido a su fragmentación, no pueden ser identificados mediante anatomía comparada, base de los estudios zooarqueológicos tradicionales.
La aplicación de esta técnica a gran escala en Cova Eirós representa un avance en la interpretación de los conjuntos faunísticos y abre nuevas perspectivas para el estudio de la dieta y las dinámicas de explotación de los recursos animales durante el Paleolítico medio y superior.
Una investigación colaborativa
El trabajo ha sido realizado en colaboración con investigadores e investigadoras de diversas instituciones: Samantha Brown (CENIEH), Iván Rey Rodríguez (UVIGO-IPHES), Mikel Díaz Rodríguez (UVIGO-CISPAC), Carlos Fernández Rodríguez (ULE), Álvaro Ibáñez Encinas (USC-IPHES), Arturo de Lombera Hermida (UNIOVI-CISPAC), Tania Mosquera Castro (USC-CISPAC), Xosé Pedro Rodríguez Álvarez (URV-IPHES) y Ramón Fábregas Valcarce (USC-CISPAC).
Esta investigación se enmarca en el proyecto Dinámicas poblacionales y tecnológicas durante el Pleistoceno final-Holoceno de las Sierras Orientales del Noroeste Ibérico 2 (PID2022-142337NB-I00), financiado por el Ministerio de Ciencia, Innovación y Universidades y el programa FEDER “Una manera de hacer Europa”. Las excavaciones arqueológicas en Cova Eirós cuentan con el apoyo de la Consellería de Cultura, Lingua e Xuventude de la Xunta de Galicia.
Referencia bibliográfica
Bal‐García, H., Brown, S., Rey‐Rodríguez, I., Díaz‐Rodríguez, M., Fernández‐Rodríguez, C., Ibáñez‐Encinas, Á., de Lombera‐Hermida, A., Mosquera‐Castro, T., Rodríguez‐Álvarez, X., & Fábregas‐Valcarce, R. (2026). Expanding the Faunal Interpretation of the Cova Eirós (NW Iberia) Middle Paleolithic–Early Upper Paleolithic Record With ZooMS. International Journal of Osteoarchaeology. https://doi.org/10.1002/oa.70107

